Andreas Hess // Projects // Triskel // Diagrams

Triskel: Empirical Results

Please note that most of the graphs will have a different scale each.

anneal

Anneal

anneal.ORIG

AnnealORIG

audiology

Audio

autos

Autos

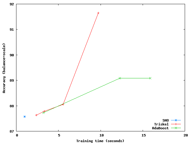
balance-scale

Balance

Glass

Glass

hypothyroid

Hypo

lymphography

Lymph

primary-tumor

PrimaryTumor

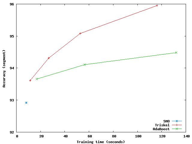
segment

Segment

soybean

Soybean

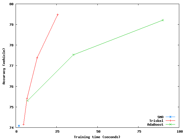
vehicle

Vehicle

vowel

Vowel

waveform

Waveform

zoo

Zoo